The photos you provided may be used to improve Bing image processing services.
Privacy Policy
|
Terms of Use
Can't use this link. Check that your link starts with 'http://' or 'https://' to try again.
Unable to process this search. Please try a different image or keywords.
Try Visual Search
Search, identify objects and text, translate, or solve problems using an image
Drag one or more images here,
upload an image
or
open camera
Drop images here to start your search
To use Visual Search, enable the camera in this browser
All
Search
Images
Inspiration
Create
Collections
Videos
Maps
News
More
Shopping
Flights
Travel
Notebook
Top suggestions for Bulk Modulus vs Young's Modulus
Bulk Modulus
Units
Young Modulus
Elasticity
Stress-Strain Modulus
of Elasticity
Bulk Modulus
Formula
Bulk Modulus
and Shear Modulus
Bulk Modulus
Definition
Modulus
of Rigidity Formula
Young's Modulus
V Bulk Modulus
Elastic Modulus
Table
Bulk Modulus
Equation
Relation Between
Bulk Modulus Young Modulus
Bulk Modulus
Example
Young Modulus
Graph
Young's Modulus
and Poisson's Ratio
E
Modulus
What Is Modulus
of Elasticity
Young's Modulus vs
Density Chart
Computing Bulk Modulus
From Young's Modulus
Bulk Modulus
Meaning
Dynamic
Bulk Modulus
Modulus
of Ductility
Calculate Shear
Modulus
Derive the Relation Between
Young's Modulus and Bulk Modulus
Bulk Modulus
Measurement
Steel Modulus
of Elasticity vs Temperature
Changing Bulk Modulus
to Young Modulus
Define
Young Modulus
Water
Young's Modulus
Urea
Bulk Modulus
Polymer
Bulk Modulus
Bulk Modulus
Diagram
Young Modulus
ECVs Eh
Young Modulus
Plot
Hysys
Bulk Modulus
Young Modulud Shear
Modulus and Bulk Modulus
Mind Map On
Bulk Modulus
Bulk Modulus
Dependence of Young Modulus
Bulk Modulus
From Sonic
Young Modulus vs
Spring Constant
Young Modulus and Bulk Modulus
of Items
U Si
Bulk Modulus
Skin
Young Modulus
Moltern Urea
Bulk Modulus
Relation Connecting
Young Modulus Bulk Rigid
Young Modulus
CPP Film
Bulk Modulus
Formula Vp/Vs
Differnece Between
Young's Modulus and Bulk Modulus
Bulk Modulus
of Potassium Feldspar
Bulk Modulus with Respect to
Young's Modulus and Shear Modulus
Young's Modulus
VSG
Explore more searches like Bulk Modulus vs Young's Modulus
Sims
4
Function
Examples
Stiffness
Symbol
Operator
Elastic
Section
Guitars
Infinity
What Is
Shear
Nerf
Guns
Compression
Young's
10 ECS Nerf
Gun Blaster
Font
$286
Strato
DMA
Storage
Autoplay all GIFs
Change autoplay and other image settings here
Autoplay all GIFs
Flip the switch to turn them on
Autoplay GIFs
Image size
All
Small
Medium
Large
Extra large
At least... *
Customized Width
x
Customized Height
px
Please enter a number for Width and Height
Color
All
Color only
Black & white
Type
All
Photograph
Clipart
Line drawing
Animated GIF
Transparent
Layout
All
Square
Wide
Tall
People
All
Just faces
Head & shoulders
Date
All
Past 24 hours
Past week
Past month
Past year
License
All
All Creative Commons
Public domain
Free to share and use
Free to share and use commercially
Free to modify, share, and use
Free to modify, share, and use commercially
Learn more
Clear filters
SafeSearch:
Moderate
Strict
Moderate (default)
Off
Filter
Bulk Modulus
Units
Young Modulus
Elasticity
Stress-Strain Modulus
of Elasticity
Bulk Modulus
Formula
Bulk Modulus
and Shear Modulus
Bulk Modulus
Definition
Modulus
of Rigidity Formula
Young's Modulus
V Bulk Modulus
Elastic Modulus
Table
Bulk Modulus
Equation
Relation Between
Bulk Modulus Young Modulus
Bulk Modulus
Example
Young Modulus
Graph
Young's Modulus
and Poisson's Ratio
E
Modulus
What Is Modulus
of Elasticity
Young's Modulus vs
Density Chart
Computing Bulk Modulus
From Young's Modulus
Bulk Modulus
Meaning
Dynamic
Bulk Modulus
Modulus
of Ductility
Calculate Shear
Modulus
Derive the Relation Between
Young's Modulus and Bulk Modulus
Bulk Modulus
Measurement
Steel Modulus
of Elasticity vs Temperature
Changing Bulk Modulus
to Young Modulus
Define
Young Modulus
Water
Young's Modulus
Urea
Bulk Modulus
Polymer
Bulk Modulus
Bulk Modulus
Diagram
Young Modulus
ECVs Eh
Young Modulus
Plot
Hysys
Bulk Modulus
Young Modulud Shear
Modulus and Bulk Modulus
Mind Map On
Bulk Modulus
Bulk Modulus
Dependence of Young Modulus
Bulk Modulus
From Sonic
Young Modulus vs
Spring Constant
Young Modulus and Bulk Modulus
of Items
U Si
Bulk Modulus
Skin
Young Modulus
Moltern Urea
Bulk Modulus
Relation Connecting
Young Modulus Bulk Rigid
Young Modulus
CPP Film
Bulk Modulus
Formula Vp/Vs
Differnece Between
Young's Modulus and Bulk Modulus
Bulk Modulus
of Potassium Feldspar
Bulk Modulus with Respect to
Young's Modulus and Shear Modulus
Young's Modulus
VSG
609×216
extrudesign.com
What is Bulk modulus? | Bulk Modulus Vs Young's Modulus Vs Rigidity ...
GIF
960×1040
extrudesign.com
What is Bulk modulus? | Bulk Mo…
238×75
extrudesign.com
What is Bulk modulus? | Bulk Modulus Vs Young's Modulus …
595×308
extrudesign.com
What is Bulk modulus? | Bulk Modulus Vs Young's Modulus Vs Rigidity ...
Related Products
Formula Sheet
Of Elasticity Book
Experiment Kit
477×141
extrudesign.com
What is Bulk modulus? | Bulk Modulus Vs Young's Modulus Vs Rigidity ...
1024×640
askdifference.com
Bulk Modulus vs. Young Modulus — What’s the Difference?
1001×1252
linkedin.com
Young's Modulus, Bulk …
850×562
researchgate.net
Bulk modulus, shear modulus, Young's modulus and Poisson'…
850×1313
researchgate.net
Variation of Young's modulus (E), bulk …
850×690
researchgate.net
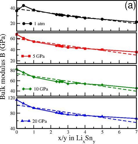
(a)–(e) Calculated values of bulk modulus, Shear modulus and Young’s ...
850×1261
researchgate.net
Bulk modulus B, shear modulus G, Y…
320×320
researchgate.net
Young's modulus, shear modulus, and bulk modulus values for mi…
640×640
researchgate.net
The calculated a bulk modulus B, b shear modulus G, c Young’s …
Explore more searches like
Bulk
Modulus
vs Young's
Modulus
Sims 4
Function Examples
Stiffness
Symbol
Operator
Elastic Section
Guitars
Infinity
What Is Shear
Nerf Guns
Compression
Young's
2000×1125
studypool.com
SOLUTION: bulk modulus young s modulus modulus of rigidity - Studypool
850×983
researchgate.net
Young’s modulus (E), elastic modulus (L), b…
1680×928
difbetween.com
Elastic Modulus vs Young’s Modulus
1024×1153
askfilo.com
(a) Young's modulus (b) Rigidity modulus (or S…
1620×2292
studypool.com
SOLUTION: Young's Modulus, …
686×716
researchgate.net
(a) Bulk modulus (B), (b) Shear modulus (G), (c) Yo…
850×648
researchgate.net
Plot of the variation in the bulk modulus B, Young's modulus E, and ...
850×801
researchgate.net
Density (A), Young's modulus (B), shear modulus (C), and b…
640×640
researchgate.net
Plot of the variation in the bulk modulus B, Young's modulu…
640×640
researchgate.net
Variation in Young modulus, shear modulus, and bulk m…
487×412
xometry.com
Shear Modulus vs Young’s Modulus: Which One to Use? | Xo…
993×672
xometry.com
Shear Modulus vs Young’s Modulus: Which One to Use? | Xometry
850×581
researchgate.net
Calculated Young's modulus E, shear modulus K, bulk modulus B and ...
850×698
researchgate.net
Calculated (a) bulk modulus B (b) shear modulus G and (c) Young’s ...
1024×768
storage.googleapis.com
Calculate Bulk Modulus From Young's Modulus at Robert Thaler blog
1080×1080
storage.googleapis.com
Calculate Bulk Modulus From Young's Modulus at Robert T…
600×600
storage.googleapis.com
Calculate Bulk Modulus From Young's Modulus at Robert T…
850×679
researchgate.net
(a) Bulk modulus (B), (b) Young's modulus (E), (c) she…
660×956
researchgate.net
b) shows the bulk modulus, …
320×320
researchgate.net
Trends of Bulk modulus (B), Shear modulus (…
1280×720
doubtnut.com
The relationship between Young's modulus Y, Bulk modulus K and modulus
850×631
ResearchGate
Young's modulus, E , bulk modulus, B , shear modulus, G …
Some results have been hidden because they may be inaccessible to you.
Show inaccessible results
Report an inappropriate content
Please select one of the options below.
Not Relevant
Offensive
Adult
Child Sexual Abuse
Feedback