The photos you provided may be used to improve Bing image processing services.
Privacy Policy
|
Terms of Use
Can't use this link. Check that your link starts with 'http://' or 'https://' to try again.
Unable to process this search. Please try a different image or keywords.
Try Visual Search
Search, identify objects and text, translate, or solve problems using an image
Drag one or more images here,
upload an image
or
open camera
Drop images here to start your search
To use Visual Search, enable the camera in this browser
All
Search
Images
Inspiration
Create
Collections
Videos
Maps
News
More
Shopping
Flights
Travel
Notebook
Top suggestions for Class 12 Polynomials Formulas Chart
Physics Formula
Chart Class 12
Class 12 Formula Chart
of Maths
Chemistry Formula Sheet
Class 12
Class 12
Drawing Formula
Power Factor Class 12
Formula Sheet
Electrostatics Potential Class 12
Formula Sheet
Emw Formula Sheet
Class 12
Formula Sheet
Class 12 NEET
Class 12 Formula Chart
for APS PGT Maths
Modern Physics Class 12
Formula Sheet
8 Grade Math Formula
Chart
Class
12th Formula Sheet
Formula Sheet of Class 12
Chemistry Chapter 2
Class 12
Math Formula All Chapter Chart
Class 12
Formula Sheet Up Board
Solutions Class
12th Formula Sheet
Calculus Grade 12
Cheat Sheet
Complete Class 12
Chemistry Formula Sheet
Algebra Formula
Chart
Physics Class 12
Chapter 1st Formula Sheet
All Ways
Chart Class 12
Formula Sheet Physics
Class 12 CBSE PDF
Math Formula
Chart Geometry
Formula Chart of Class 12
CH 3 Phyuscs
Class 12
Applied Maths Formula Sheet
Maths Class 12
Formula Wall Chart
Class 12
Economics Formula Sheet
Physics Charts
for Class 12
Chem Formula Sheet Chapyer 2 Class 11
Class 12
Physics Chapter Wise Formula Sheet
Atoms Class 12
Formula Sheet
Electricity Class 12
Formula Sheet
Class 12
Th Maths Formula Sheet
Physics Class 12
Ch. 7 Formula Sheet
Formula Sheet of EMI
Class 12
Formula Sheet for
Class 12 Unit 1
Electric Charges and Fields
Class 12 Formula Sheet
Class 12
Physical Chemistry Formula Sheet
Class 12
Solutions Formula Sheet Handwritten
Physics Vimiy Formula
Chart
Creative Learning Maths
Class 12 Formula Sheet
PHY Formula Sheet
Class 12 Matric
Trigonometry Formula
Chart
Formula Sheet Class 12
for Elastiicity
Physics Electgric Current Formula
Chart Class 12
Class 12th Maths All
Formulas Chart
Formula Sheet
for VA
Formula Sheet Physics
Class 12 EC
Grade 12
NSC Chemistry Formula Sheet
Grade 12
Physics Formula Sheet DBE
Explore more searches like Class 12 Polynomials Formulas Chart
Basic
Geometry
Surface
Area
Basic
Chemistry
Basic
Physics
College
Algebra
STAAR Algebra
2
High School
Math
AP Physics
1
Simple
Math
10th Grade
Geometry
Present Indefinite
Tense
Algebra
Equations
English
Grammar
Algebra
2
AP
Chemistry
Present
Tense
Area
Perimeter
Primary School
Maths
Easy
Neon
Algebra
1
8th Grade
Math
8th Grade
Science
Analytical
Geometry
7th Grade
Math
4th
Grade
STAAR
Test
Physics
STAAR
Comparison
Equivalent
Excel Formula
Chart
Area
7th Grade Math
STAAR
8th Grade STAAR
Math
Pie
People interested in Class 12 Polynomials Formulas Chart also searched for
College
Board
Algebra Formula
Chart
Trigonometry Formula
Chart
8th STAAR
Math
Ohm's
Law
Integration
BMI
Types
Grade 7
STAAR
AP
Physics
Algebra
Numbers
Generic
Autoplay all GIFs
Change autoplay and other image settings here
Autoplay all GIFs
Flip the switch to turn them on
Autoplay GIFs
Image size
All
Small
Medium
Large
Extra large
At least... *
Customized Width
x
Customized Height
px
Please enter a number for Width and Height
Color
All
Color only
Black & white
Type
All
Photograph
Clipart
Line drawing
Animated GIF
Transparent
Layout
All
Square
Wide
Tall
People
All
Just faces
Head & shoulders
Date
All
Past 24 hours
Past week
Past month
Past year
License
All
All Creative Commons
Public domain
Free to share and use
Free to share and use commercially
Free to modify, share, and use
Free to modify, share, and use commercially
Learn more
Clear filters
SafeSearch:
Moderate
Strict
Moderate (default)
Off
Filter
Physics Formula
Chart Class 12
Class 12 Formula Chart
of Maths
Chemistry Formula Sheet
Class 12
Class 12
Drawing Formula
Power Factor Class 12
Formula Sheet
Electrostatics Potential Class 12
Formula Sheet
Emw Formula Sheet
Class 12
Formula Sheet
Class 12 NEET
Class 12 Formula Chart
for APS PGT Maths
Modern Physics Class 12
Formula Sheet
8 Grade Math Formula
Chart
Class
12th Formula Sheet
Formula Sheet of Class 12
Chemistry Chapter 2
Class 12
Math Formula All Chapter Chart
Class 12
Formula Sheet Up Board
Solutions Class
12th Formula Sheet
Calculus Grade 12
Cheat Sheet
Complete Class 12
Chemistry Formula Sheet
Algebra Formula
Chart
Physics Class 12
Chapter 1st Formula Sheet
All Ways
Chart Class 12
Formula Sheet Physics
Class 12 CBSE PDF
Math Formula
Chart Geometry
Formula Chart of Class 12
CH 3 Phyuscs
Class 12
Applied Maths Formula Sheet
Maths Class 12
Formula Wall Chart
Class 12
Economics Formula Sheet
Physics Charts
for Class 12
Chem Formula Sheet Chapyer 2 Class 11
Class 12
Physics Chapter Wise Formula Sheet
Atoms Class 12
Formula Sheet
Electricity Class 12
Formula Sheet
Class 12
Th Maths Formula Sheet
Physics Class 12
Ch. 7 Formula Sheet
Formula Sheet of EMI
Class 12
Formula Sheet for
Class 12 Unit 1
Electric Charges and Fields
Class 12 Formula Sheet
Class 12
Physical Chemistry Formula Sheet
Class 12
Solutions Formula Sheet Handwritten
Physics Vimiy Formula
Chart
Creative Learning Maths
Class 12 Formula Sheet
PHY Formula Sheet
Class 12 Matric
Trigonometry Formula
Chart
Formula Sheet Class 12
for Elastiicity
Physics Electgric Current Formula
Chart Class 12
Class 12th Maths All
Formulas Chart
Formula Sheet
for VA
Formula Sheet Physics
Class 12 EC
Grade 12
NSC Chemistry Formula Sheet
Grade 12
Physics Formula Sheet DBE
768×1024
scribd.com
Polynomials-Formulas | PD…
768×1024
scribd.com
Maths Class 12 Formulas | PDF
768×1024
scribd.com
Polynomials Formula Sheet …
768×1024
scribd.com
12th Formulas and Graphs | P…
Related Products
Polynomial Chart Calculator
Function Poster
Quadratic Polynomial Chart
512×217
cuemath.com
Polynomials Formulas Class 10 - Solved Examples, Downloadable PDF
555×678
signalticket9.pythonanywhere.com
Impressive All Formulas Of Polyno…
783×217
pw.live
Maths formulas PDF for Class 10 Chapter- Polynomials | PW
768×1024
scribd.com
Mathematics Formula Shee…
768×1024
scribd.com
Chapter 2 Mathematics - …
768×1024
scribd.com
Chapter 10 Mathematics - …
1748×1243
formulainmaths.in
Polynomials Formula For 10th Class » Formula In Maths
768×1024
scribd.com
Chapter 5 Mathematics …
768×1024
scribd.com
Chapter 8 Mathematics …
1748×363
formulainmaths.in
Polynomials Formula For 9th Class » Formula In Maths
1024×2275
askfilo.com
Important Maths Fogm…
1748×1955
formulainmaths.in
Factorisation Of Polynomials …
790×375
studiestoday.com
CBSE Class 10 Polynomials Important Formulas and concepts for exams
Explore more searches like
Class 12 Polynomials
Formulas Chart
Basic Geometry
Surface Area
Basic Chemistry
Basic Physics
College Algebra
STAAR Algebra 2
High School Math
AP Physics 1
Simple Math
10th Grade Geometry
Present Indefinite Te
…
Algebra Equations
560×420
slideshare.net
CLASS X MATHS Polynomials | PPT
768×1024
scribd.com
Formulae,,key Points,, Algorith…
876×588
upboardguide.com
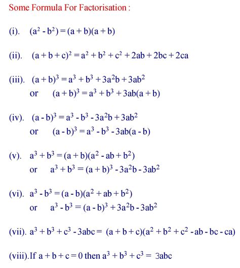
Maths Formulas for Class 12 PDF Free Download – UP Board Guide
825×586
worksheetsbuddy.com
Maths Formulas for Class 12 | List of Important 12th Std Maths Formulae
825×506
worksheetsbuddy.com
Maths Formulas for Class 12 | List of Important 12th Std Maths Formulae
825×395
worksheetsbuddy.com
Maths Formulas for Class 12 | List of Important 12th Std Maths Formulae
825×649
worksheetsbuddy.com
Maths Formulas for Class 12 | List of Important 12th Std Mat…
825×693
worksheetsbuddy.com
Maths Formulas for Class 12 | List of Important 12th Std M…
825×428
worksheetsbuddy.com
Maths Formulas for Class 12 | List of Important 12th Std Maths Formulae
825×385
worksheetsbuddy.com
Maths Formulas for Class 12 | List of Important 12th Std Maths Formulae
825×657
worksheetsbuddy.com
Maths Formulas for Class 12 | List of Important 12th St…
825×531
worksheetsbuddy.com
Maths Formulas for Class 12 | List of Important 12th Std Maths Formulae
825×418
worksheetsbuddy.com
Maths Formulas for Class 12 | List of Important 12th Std Maths Formulae
825×602
worksheetsbuddy.com
Maths Formulas for Class 12 | List of Important 12th Std Ma…
825×551
worksheetsbuddy.com
Maths Formulas for Class 12 | List of Important 12th Std Maths For…
882×341
worksheetsbuddy.com
Maths Formulas for Class 12 | List of Important 12th Std Maths Formulae
People interested in
Class 12 Polynomials
Formulas Chart
also searched for
College Board
Algebra Formula Chart
Trigonometry Formula Chart
8th STAAR Math
Ohm's Law
Integration
BMI
Types
Grade 7 STAAR
AP Physics
Algebra Numbers
Generic
840×485
worksheetsbuddy.com
Maths Formulas for Class 12 | List of Important 12th Std Maths Formulae
797×304
worksheetsbuddy.com
Maths Formulas for Class 12 | List of Important 12th Std Maths Formulae
Some results have been hidden because they may be inaccessible to you.
Show inaccessible results
See more images
Recommended for you
Sponsored
Report an inappropriate content
Please select one of the options below.
Not Relevant
Offensive
Adult
Child Sexual Abuse
Feedback