The photos you provided may be used to improve Bing image processing services.
Privacy Policy
|
Terms of Use
Can't use this link. Check that your link starts with 'http://' or 'https://' to try again.
Unable to process this search. Please try a different image or keywords.
Try Visual Search
Search, identify objects and text, translate, or solve problems using an image
Drag one or more images here,
upload an image
or
open camera
Drop images here to start your search
To use Visual Search, enable the camera in this browser
All
Search
Images
Inspiration
Create
Collections
Videos
Maps
News
More
Shopping
Flights
Travel
Notebook
Top suggestions for copper
Copper
Wire
Copper
Money
Copper
Roll
Iron
Copper
Ore Types
Copper
Metal
Copper
Mesh
Copper
Dress
Copperplate
Molten
Copper
Copper
Bar
Copper
Wallpaper
Copper
Ring
Copper
Finish
Copper
Coins
Bronze
Copper
Pot
Copper
Glass
Aluminum
Copper
Pennies
Brass vs
Copper
Copper
Roof
Copper
Blender
Copper
Nugget
Metallic
Copper
Copper
Wall
Copper
Material
Gold
Raw
Copper
Copper
Chain
Copper
Penny
Natural
Copper
Pure
Copper
Copper
Cup
Copper
Pipe
Copper
Scrap
Copper
Sheet
Copper
Plating
Copper
Medal
Copper
Spool
Copper
Extraction
Copper
Knife
Copper
Mineral
Copper
Element
Uses for
Copper
Tin
Copper
Patina
Copper
Pieces
Zinc
Copper
Green
Refine your search for copper
Sheet
Metal
Kitchen
Lighting
Gold
Silver
Iron
Ore
Oxide
Ore
Molar
Mass
Wire
Bonding
Kitchen
Accessories
Bathroom
Accessories
Ore
Minerals
Metal Wall
Art
Metal
Roof
Wall
Tiles
Glass
Tile
Patina
Color
Backsplash
Panels
Charger
Plates
Coil
Tubing
Mosaic Tile
Backsplash
Glass Mosaic
Tiles
Wall
Decor
Wall
Panels
Pan
Set
Kitchen
Countertops
Tile
Villeroy
Wire
Jewelry
Antique
Artwork
Sink
Pendant
Lights
Tablets
Color
Spray Paint
for Metal
Shower
Chair
Pendant
Lighting
Wall
Coins
Interior
Design
Gutters
Downspouts
Explore more searches like copper
Periodic
Table
Kitchen
Cabinets
Brass
Decorations
Copper
Art
Green
Vessel
Tape
Kitchen
Appliances
Splashback
Tile
Backsplash
Home
Decor
Gold
Wiring
Utensils
People interested in copper also searched for
Clip
Art
Scrap
Metal
Metal
Background
Zinc
Alloy
Different
Types
Ticker
Symbol
Patina
Texture
Sheet
Silverware
Copper
Pipe
Wire
Cable
Bar
Roll
Rusted
Electrical
Wire
Tube
Kettle
Patina
Sheets for
Crafts
People interested in copper also searched for
Zinc
Nickel
Iron
Magnesium
Chromium
Lead
Manganese
Tin
Molybdenum
Cadmium
Cobalt
Titanium
Potassium
Platinum
Arsenic
Phosphorus
Sodium
Tungsten
Metal
Steel
Autoplay all GIFs
Change autoplay and other image settings here
Autoplay all GIFs
Flip the switch to turn them on
Autoplay GIFs
Image size
All
Small
Medium
Large
Extra large
At least... *
Customized Width
x
Customized Height
px
Please enter a number for Width and Height
Color
All
Color only
Black & white
Type
All
Photograph
Clipart
Line drawing
Animated GIF
Transparent
Layout
All
Square
Wide
Tall
People
All
Just faces
Head & shoulders
Date
All
Past 24 hours
Past week
Past month
Past year
License
All
All Creative Commons
Public domain
Free to share and use
Free to share and use commercially
Free to modify, share, and use
Free to modify, share, and use commercially
Learn more
Clear filters
SafeSearch:
Moderate
Strict
Moderate (default)
Off
Filter
Copper
Wire
Copper
Money
Copper
Roll
Iron
Copper
Ore Types
Copper
Metal
Copper
Mesh
Copper
Dress
Copperplate
Molten
Copper
Copper
Bar
Copper
Wallpaper
Copper
Ring
Copper
Finish
Copper
Coins
Bronze
Copper
Pot
Copper
Glass
Aluminum
Copper
Pennies
Brass vs
Copper
Copper
Roof
Copper
Blender
Copper
Nugget
Metallic
Copper
Copper
Wall
Copper
Material
Gold
Raw
Copper
Copper
Chain
Copper
Penny
Natural
Copper
Pure
Copper
Copper
Cup
Copper
Pipe
Copper
Scrap
Copper
Sheet
Copper
Plating
Copper
Medal
Copper
Spool
Copper
Extraction
Copper
Knife
Copper
Mineral
Copper
Element
Uses for
Copper
Tin
Copper
Patina
Copper
Pieces
Zinc
Copper
Green
1024×450
numerade.com
SOLVED: Draw the Lewis structure for PCH in tbe Window below and then ...
797×482
nucleusaccumbens.deviantart.com
Phosphate Ion Resonance by NucleusAccumbens on DeviantArt
650×152
learnool.com
PCl2- Lewis structure - Learnool
650×276
learnool.com
PBr4+ Lewis structure - Learnool
Related Products
Copper Wire
Jewelry
Cookware
700×340
chegg.com
Solved The N-F bonds in NF3 are formed by ... :F: Select | Chegg.com
650×136
learnool.com
PO2- Lewis structure - Learnool
533×700
chegg.com
which of the following mole…
1280×720
YouTube
Hybridization Exercise - YouTube
1920×524
chegg.com
Solved 1. Show the formal charge on each of the atoms on the | Chegg.com
624×292
studyx.ai
c The two possible Lewis structures of PO4 3 | StudyX
Copper Price Chart
See more results
Copper Art
See more results
Copper Mining
See more results
1024×768
numerade.com
SOLVED: Answer the questions in the table below about the shape …
732×853
chegg.com
Solved Question 15 5 pts Consider the fol…
650×177
rootmemory.com
Lewis structure of PCl3 - Root Memory
1024×576
numerade.com
SOLVED: Experiment: Lewis Dot Structures, Hybridization, and Shapes of ...
1024×768
numerade.com
SOLVED: For the Lewis structure of xenon tetrafluoride, calculate the ...
700×220
chegg.com
Solved Are these two structures resonance structures? O C :: | Chegg.com
468×230
Royal Society of Chemistry
Recent highlights in mixed-coordinate oligophosphorus chemistry ...
1024×734
numerade.com
SOLVED: Draw the Lewis Structure for each of the following molecules ...
1302×758
chegg.com
Solved Which is the most stable resonance structure for OCS | Chegg.com
1024×768
numerade.com
SOLVED: Lewis Structures Practice Worksheet 30 PPs Draw the Lewis ...
606×622
chegg.com
Solved Question 3: Consider the following Le…
343×407
chegg.com
Solved The molecule that is represented i…
300×85
learnool.com
PI3 Lewis structure - Learnool
300×63
learnool.com
PO2- Lewis structure - Learnool
1024×768
ar.inspiredpencil.com
White Phosphorus Lewis Structure
Refine your search for
copper
Sheet Metal
Kitchen Lighting
Gold Silver
Iron Ore
Oxide Ore
Molar Mass
Wire Bonding
Kitchen Accessories
Bathroom Accessories
Ore Minerals
Metal Wall Art
Metal Roof
650×136
learnool.com
PCl2- Lewis structure - Learnool
1024×512
numerade.com
SOLVED: Using Models to Predict Molecular Structure Find three ways to ...
650×185
learnool.com
PI3 Lewis structure - Learnool
650×176
rootmemory.com
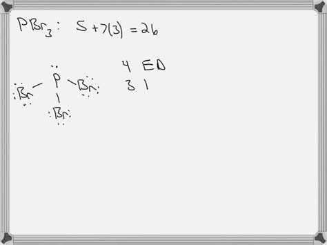
Lewis structure of PBr3 - Root Memory
1024×768
numerade.com
SOLVED: BeHlz AXE Electron geometry: notation…
1650×628
chegg.com
Solved The Lewis structure for the PCl3 molecule is shown | Chegg.com
1024×768
animalia-life.club
Lewis Structure Pcl5
700×345
chegg.com
Solved What is the major organic product obtained from the | Chegg.com
1024×730
chegg.com
Solved Which of the following is the best Lewis structure of | Chegg.com
GIF
480×278
numerade.com
Iodine trichloride, ICl3, is an interhalogen compound. (a) Write the ...
Some results have been hidden because they may be inaccessible to you.
Show inaccessible results
Report an inappropriate content
Please select one of the options below.
Not Relevant
Offensive
Adult
Child Sexual Abuse
Feedback