The photos you provided may be used to improve Bing image processing services.
Privacy Policy
|
Terms of Use
Can't use this link. Check that your link starts with 'http://' or 'https://' to try again.
Unable to process this search. Please try a different image or keywords.
Try Visual Search
Search, identify objects and text, translate, or solve problems using an image
Drag one or more images here,
upload an image
or
open camera
Drop images here to start your search
To use Visual Search, enable the camera in this browser
All
Search
Images
Inspiration
Create
Collections
Videos
Maps
News
More
Shopping
Flights
Travel
Notebook
Autoplay all GIFs
Change autoplay and other image settings here
Autoplay all GIFs
Flip the switch to turn them on
Autoplay GIFs
Image size
All
Small
Medium
Large
Extra large
At least... *
Customized Width
x
Customized Height
px
Please enter a number for Width and Height
Color
All
Color only
Black & white
Type
All
Photograph
Clipart
Line drawing
Animated GIF
Transparent
Layout
All
Square
Wide
Tall
People
All
Just faces
Head & shoulders
Date
All
Past 24 hours
Past week
Past month
Past year
License
All
All Creative Commons
Public domain
Free to share and use
Free to share and use commercially
Free to modify, share, and use
Free to modify, share, and use commercially
Learn more
Clear filters
SafeSearch:
Moderate
Strict
Moderate (default)
Off
Filter
473×127
gauthmath.com
Solved: If f(x)=3x^2-6 , determine dy/dx from the first principles ...
800×600
chegg.com
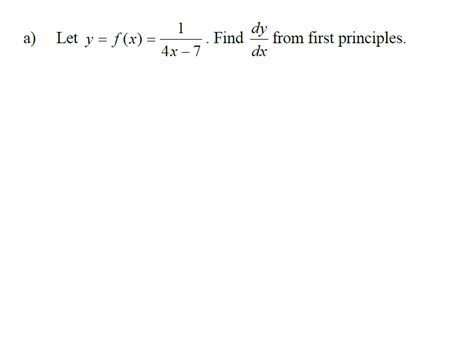
Solved 1 a) Let y = f(x) = dy Find from first principles. dx | Chegg.c…
972×729
studyx.ai
Determine $f'(x)$ from first principles if | StudyX
1024×724
studylib.net
dy dx + p(x)y = f(x)
589×364
gauthmath.com
Solved: Determine f'(x) from first principles. Determine dy/dx if: 7.2. ...
1071×416
chegg.com
Solved 3.1 3.2 Determine f(x) from the first principles if | Chegg.com
800×346
tinkutara.com
y-x-Find-dy-dx-by-first-principle- – Tinku Tara
800×418
tinkutara.com
y-x-Find-dy-dx-by-first-principle- – Tinku Tara
517×700
chegg.com
Solved Use the first principles definiti…
700×559
Chegg
Solved 1 ) In the first-order differential equation dy/dx f | Che…
725×427
studyx.ai
8.1 Given: $f(x) = x^2 - 3$ Use first | StudyX
943×134
studyx.ai
Given that $y = {1}{x^3}$, find $ {dy}{dx}$ | StudyX
354×500
TES
C3 Differentiation Finding dy/dx w…
1125×810
gauthmath.com
Solved: a) Find derivative by first Principle method dy/dx y=-x^3+2x^2 ...
1376×1092
Chegg
Solved The differential equation: dy/dx+P(x)y = f(x)yn, | Chegg.com
1685×624
chegg.com
Solved Find the first and second derivatives, dydx and | Chegg.com
1683×649
chegg.com
Solved Find the first and second derivatives, dydx and | Chegg.com
1280×1656
docsity.com
A differential equation of th…
800×418
tinkutara.com
If-y-x-1-3-Find-dy-dx-from-the-first-principle- – Tinku Tara
996×1300
tinkutara.com
If-y-x-1-3-Find-dy-dx-from-th…
1671×228
chegg.com
Solved Use the first principle method to find dydx for the | Chegg.com
1442×224
chegg.com
Solved 28. Using the method of "First Principles" and | Chegg.com
1464×200
chegg.com
Solved 28. Using the method of "First Principles" and | Chegg.com
700×117
chegg.com
Solved 28. Using the method of "First Principles" and | Chegg.com
993×190
gauthmath.com
Solved: dy/dx y=π 6. Differenciate from the first principle. [Calculus]
1920×991
chegg.com
Solved 8.1 Determine f′(x) from first principles if | Chegg.com
1049×992
chegg.com
Solved Determine: (a) f′(x) from first principl…
1060×507
chegg.com
Solved Determine: (a) f′(x) from first principles if | Chegg.com
969×326
chegg.com
Find dy/dx using the Fundamental Theorem of Calculus | Chegg.com
573×187
graphicmaths.com
GraphicMaths - Differentiation from first principles - x²
344×185
graphicmaths.com
GraphicMaths - Differentiation from first principles - x²
1049×735
gauthmath.com
Solved: Determine f^/(x) from first principles if f(x)=x^3 (5 ...
2180×888
gauthmath.com
Solved: QUESTION 2 2.1 Determine dy/dx from the first principle if: y ...
713×776
gauthmath.com
Solved: QUESTION 2 2.1 Determine dy/dx fr…
700×282
chegg.com
Solved Question 1 a) Differentiate from first principles | Chegg.com
Some results have been hidden because they may be inaccessible to you.
Show inaccessible results
Report an inappropriate content
Please select one of the options below.
Not Relevant
Offensive
Adult
Child Sexual Abuse
Feedback