The photos you provided may be used to improve Bing image processing services.
Privacy Policy
|
Terms of Use
Can't use this link. Check that your link starts with 'http://' or 'https://' to try again.
Unable to process this search. Please try a different image or keywords.
Try Visual Search
Search, identify objects and text, translate, or solve problems using an image
Drag one or more images here,
upload an image
or
open camera
Drop images here to start your search
To use Visual Search, enable the camera in this browser
All
Search
Images
Inspiration
Create
Collections
Videos
Maps
News
More
Shopping
Flights
Travel
Notebook
Top suggestions for Factorising Complex
Factorising Complex
Quadratics
Factorising Complex
Numbers
Factorising Complex
Equations
Complex
Trinomial Factoring
Factoring Over
Complex Numbers
Complex
Factoring Problems
Complex
Solutions Factoring
Factoring Complex
Polynomials
Complex
Factoring Questions
Factorise Complex
Quadratics
Explore more searches like Factorising Complex
Practice
Questions
Solving
Equations
Grid
Method
Solving Quadratic
Equations
Grade 10
Mathematics
Quadratic
Expression
Completing
Square
Expanding
Brackets
Slide
Background
Maths
Revision
Grade 9
Worksheets
Square
Numbers
Revision
Cards
Autoplay all GIFs
Change autoplay and other image settings here
Autoplay all GIFs
Flip the switch to turn them on
Autoplay GIFs
Image size
All
Small
Medium
Large
Extra large
At least... *
Customized Width
x
Customized Height
px
Please enter a number for Width and Height
Color
All
Color only
Black & white
Type
All
Photograph
Clipart
Line drawing
Animated GIF
Transparent
Layout
All
Square
Wide
Tall
People
All
Just faces
Head & shoulders
Date
All
Past 24 hours
Past week
Past month
Past year
License
All
All Creative Commons
Public domain
Free to share and use
Free to share and use commercially
Free to modify, share, and use
Free to modify, share, and use commercially
Learn more
Clear filters
SafeSearch:
Moderate
Strict
Moderate (default)
Off
Filter
Factorising Complex
Quadratics
Factorising Complex
Numbers
Factorising Complex
Equations
Complex
Trinomial Factoring
Factoring Over
Complex Numbers
Complex
Factoring Problems
Complex
Solutions Factoring
Factoring Complex
Polynomials
Complex
Factoring Questions
Factorise Complex
Quadratics
736×496
Stack Exchange
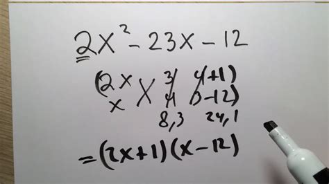
algebra precalculus - Factorising Complex Number - Mathematic…
600×340
mr-mathematics.com
Solving Complex Quadratics by Factorising
480×360
winwoodmaths.web-stock.co.uk
Factorising Complex Quadratics – Winwood Maths
2214×302
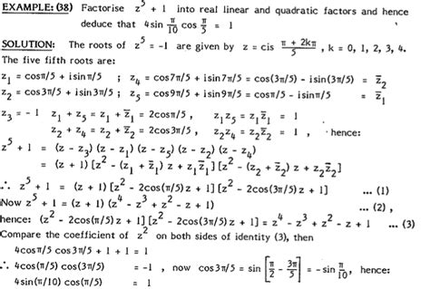
Stack Exchange
Factorising Complex Polynomial with Complex Coefficients - Mathematics ...
Related Products
Factorising Worksheets
Algebra Tiles For
Quadratics Book
768×1024
scribd.com
Factorising Complex Express…
500×375
tes.com
Factorising | Teaching Resources
1536×768
storyofmathematics.com
Factorising | Definition & Meaning
1080×1080
mymathsguy.com
Master Factorising
1367×550
myexamrevision.com
Factorising Quadratics - GCSE Maths - Examples & Worksheet
1600×898
math-angel.io
Solving Quadratic Equations by Factorising - Math Angel
1654×2339
cazoommaths.com
Factorising Single Brackets Examples | FREE Teachi…
Explore more searches like
Factorising
Complex
Practice Questions
Solving Equations
Grid Method
Solving Quadratic Eq
…
Grade 10 Mathematics
Quadratic Expression
Completing Square
Expanding Brackets
Slide Background
Maths Revision
Grade 9 Worksheets
Square Numbers
662×496
tes.com
Changing the subject of more complex equations (includes factorising ...
1066×758
tes.com
Changing the subject of more complex equations (includes factorising ...
695×521
tes.com
Changing the subject of more complex equations (includes factorising ...
1126×828
tes.com
Changing the subject of more complex equations (includes factorising ...
605×454
tes.com
Factorising algebraic expressions lesson | Teaching Resources
2500×1406
worksheetshq.com
Solving And Factorising Quadratic Equations
1654×2339
cazoommaths.com
Factorising Quadratic Expr…
728×563
slideshare.net
Factor complex trinomial
683×1024
factorworksheets.com
Factoring With Complex Num…
500×281
tes.com
Factorizing complex quadratics | Teaching Resources
1275×1650
studypool.com
SOLUTION: Factoring com…
180×234
coursehero.com
Factoring Polynomial Fu…
1722×680
fos.cmb.ac.lk
Abstraction I: Fundamentally Complex | FOS Media Students' Blog
1333×778
fos.cmb.ac.lk
Abstraction I: Fundamentally Complex | FOS Media Students' Blog
670×405
Stack Exchange
simplifying expressions - Factoring polynomials to factors involving ...
720×540
present5.com
Complex Numbers More square roots Cubic equations with
640×480
slideshare.net
X2 T01 08 factoring complex expressions | PDF
638×478
slideshare.net
X2 T01 08 factoring complex expressions | PDF
1280×720
notesaid24.com
How Factorials Simplify Complex Problems in Programming
1280×720
www.youtube.com
Complex ABC Factoring - YouTube
474×266
YouTube
Factoring Complex Trinomials - YouTube
1280×720
YouTube
Factoring Complex Quadratics - YouTube
1280×720
www.youtube.com
Factorising Complex Quadratics - YouTube
1280×720
www.youtube.com
Factorising Complex Quadratics - YouTube
Some results have been hidden because they may be inaccessible to you.
Show inaccessible results
See more images
Recommended for you
Sponsored
Report an inappropriate content
Please select one of the options below.
Not Relevant
Offensive
Adult
Child Sexual Abuse
Feedback