The photos you provided may be used to improve Bing image processing services.
Privacy Policy
|
Terms of Use
Can't use this link. Check that your link starts with 'http://' or 'https://' to try again.
Unable to process this search. Please try a different image or keywords.
Try Visual Search
Search, identify objects and text, translate, or solve problems using an image
Drag one or more images here,
upload an image
or
open camera
Drop images here to start your search
To use Visual Search, enable the camera in this browser
All
Search
Images
Inspiration
Create
Collections
Videos
Maps
News
More
Shopping
Flights
Travel
Notebook
Top suggestions for Find F1 Using Limit Def
Limit Def
of Derivative
Limit
Definition Formula
Limit
Mathematics
Limit
Definition Math
Formal Definition of a
Limit
Limit
Equation
Limit
Function
Limit
Synonym
Limit
Definition Calculus
Mathematical Limit
Definition
Limit
Form Derivative
Limit
Definition of Derivative Calculator
Epsilon Delta
Limit
Limit
Tolerance
Precise Definition of
Limits
Calculus 1
Limits
Limit
Definition Example
Integral Limit
Definition
Limits
Calculus Graph
Limit
Problems
Lower Limit
Meaning
Limit
Notation
Limits
Graphically Definition
Defining
Limits
Limits
and Continuity Calculus
How to
Find Limits
Limits
Calculus Examples
Limit
Definiton Math
Limit
Properties
Limits
of Rational Functions
Finding Limits Using
Derivatives
What Is the Limit Definition
Definite Integral
Definition
Complex Fraction
Definition
Exponential Function
Limits
Limits
of Sequences
Limit
Process Derivative
Multivariable
Calculus
Formal Limit
Definition
Limit Def
of a Derivative
Math Limits
Examples
Limit Def
Formula
Limit
Meaning
Define
Limit
Define
Limits
Integral
Limits
Synonyms for
Limit
One-Sided
Limits
Introduction to
Limits
Limit
Laws Calculus
Explore more searches like Find F1 Using Limit Def
Engine
System
Jug
Logo
Warning
Light
Jux
PNG
Fluid
PNG
Air
Filter
Concert
Posters
Diesel Exhaust
Fluid
Exhaust System
CDL
Autoplay all GIFs
Change autoplay and other image settings here
Autoplay all GIFs
Flip the switch to turn them on
Autoplay GIFs
Image size
All
Small
Medium
Large
Extra large
At least... *
Customized Width
x
Customized Height
px
Please enter a number for Width and Height
Color
All
Color only
Black & white
Type
All
Photograph
Clipart
Line drawing
Animated GIF
Transparent
Layout
All
Square
Wide
Tall
People
All
Just faces
Head & shoulders
Date
All
Past 24 hours
Past week
Past month
Past year
License
All
All Creative Commons
Public domain
Free to share and use
Free to share and use commercially
Free to modify, share, and use
Free to modify, share, and use commercially
Learn more
Clear filters
SafeSearch:
Moderate
Strict
Moderate (default)
Off
Filter
Limit Def
of Derivative
Limit
Definition Formula
Limit
Mathematics
Limit
Definition Math
Formal Definition of a
Limit
Limit
Equation
Limit
Function
Limit
Synonym
Limit
Definition Calculus
Mathematical Limit
Definition
Limit
Form Derivative
Limit
Definition of Derivative Calculator
Epsilon Delta
Limit
Limit
Tolerance
Precise Definition of
Limits
Calculus 1
Limits
Limit
Definition Example
Integral Limit
Definition
Limits
Calculus Graph
Limit
Problems
Lower Limit
Meaning
Limit
Notation
Limits
Graphically Definition
Defining
Limits
Limits
and Continuity Calculus
How to
Find Limits
Limits
Calculus Examples
Limit
Definiton Math
Limit
Properties
Limits
of Rational Functions
Finding Limits Using
Derivatives
What Is the Limit Definition
Definite Integral
Definition
Complex Fraction
Definition
Exponential Function
Limits
Limits
of Sequences
Limit
Process Derivative
Multivariable
Calculus
Formal Limit
Definition
Limit Def
of a Derivative
Math Limits
Examples
Limit Def
Formula
Limit
Meaning
Define
Limit
Define
Limits
Integral
Limits
Synonyms for
Limit
One-Sided
Limits
Introduction to
Limits
Limit
Laws Calculus
780×1024
chegg.com
Solved Calculate f'(1) by using the li…
1714×382
chegg.com
Solved For the following function, using the limit | Chegg.com
721×62
chegg.com
Solved Compute f′(1) using the limit definition and find an | Chegg.com
738×79
chegg.com
Solved Compute f′(2) using the limit definition and find an | Chegg.com
Related Products
Leppard T-Shirt
Comedy Jam DVD
Fluid for Diesel Engines
700×221
chegg.com
Solved Compute f′(a) using the limit definition and find an | Chegg.com
739×155
chegg.com
Solved Compute f′(1) using the limit definition and find an | Chegg.com
300×388
studocu.com
[Solved] Using the limit definition of …
2879×623
chegg.com
Solved = х 1 7. Let f(x) = Using the limit definition of the | Chegg.com
1024×864
chegg.com
Solved Use the graph of f to find the limit. (If an answer | …
Explore more searches like
Find F1 Using Limit
Def
Engine System
Jug Logo
Warning Light
Jux PNG
Fluid PNG
Air Filter
Concert Posters
Diesel Exhaust Fluid
Exhaust System CDL
1024×1023
chegg.com
Solved Use the graph of f to find the limit. (If an an…
1033×577
chegg.com
Solved Use the graph of F to find the given limit. When | Chegg.com
1024×439
chegg.com
Solved 1) Using the limit definition to find f′(x) (-10pts) | Chegg.com
1124×1080
chegg.com
Solved Use the graph of F to find the given limit. Wh…
565×700
chegg.com
Solved Use the following graph of …
638×359
slideshare.net
Determining limit functions | PPT
2048×1152
slideshare.net
Determining limit functions | PPT
700×525
chegg.com
Solved Use the graph of F to find the given limit. When | Chegg.com
671×882
chegg.com
Solved Use the following graph o…
906×524
chegg.com
Solved Compute f′(x) using the limit definition. | Chegg.com
1671×1338
chegg.com
Solved [5 marks]a) State the limit definition of the | Chegg.com
700×305
chegg.com
Solved Determine f′(x) using the limit definition of the | Chegg.com
700×232
Chegg
Solved Use the limit definition to compute f'(a) and find an | Chegg.com
728×1362
chegg.com
Solved Consider the graph of f(…
700×428
chegg.com
Solved 4) Use the limit definition of derivatives to find | Chegg.com
2235×412
chegg.com
Solved 6. Use the limit definition of the derivative to find | Chegg.com
709×198
chegg.com
Solved The following limit represents f'(a) for some | Chegg.com
925×312
Chegg
Solved Use the graph of the function f to find the limits at | Chegg.com
700×323
chegg.com
Solved Use limit definition to find a formula for f′(a) | Chegg.com
1210×388
chegg.com
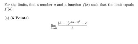
Solved For the limits, find a number a and a function f(x) | Chegg.com
1024×653
chegg.com
Solved Use the graph of the function f to find the limits at | Chegg.com
768×273
chegg.com
Solved Use the limit definition to compute f′(a) and find an | Chegg.com
700×433
chegg.com
Solved Let f be defined by (a) Find (in terms of m) lim f(x) | Chegg.com
700×505
chegg.com
Solved The following limit represents f′(a) for some | Che…
700×454
chegg.com
Solved Use the graph of the function f to find the limits at | Chegg.com
2188×704
chegg.com
Solved Use the graph of the function f to find the limits at | Chegg.com
Some results have been hidden because they may be inaccessible to you.
Show inaccessible results
Report an inappropriate content
Please select one of the options below.
Not Relevant
Offensive
Adult
Child Sexual Abuse
Feedback