The photos you provided may be used to improve Bing image processing services.
Privacy Policy
|
Terms of Use
Can't use this link. Check that your link starts with 'http://' or 'https://' to try again.
Unable to process this search. Please try a different image or keywords.
Try Visual Search
Search, identify objects and text, translate, or solve problems using an image
Drag one or more images here,
upload an image
or
open camera
Drop images here to start your search
To use Visual Search, enable the camera in this browser
All
Search
Images
Inspiration
Create
Collections
Videos
Maps
News
More
Shopping
Flights
Travel
Notebook
Top suggestions for Shortest Distance Between Two Curves
Shortest Distance Between Two
Points
Shortest
Route
Shortest Distance Between
Lines
Shortest
Path Graph
Shortest Distance
Point and Plane
Shortest
Map
Shortest Distance Between
Skew Lines
The Shortest Distance
Is Round
Shortest Distance
On a Curve
How to Find
Shortest Distance
Shortest Distance
Experiment
Shortest Distance
On a Sphere
Shortest Distance
Vectors
The Shortest Distance
BL
Shortest Distance
Algorithm
Shortest Distance
Formula Class 12
Shortest Distance Between Two
Functions
How to Calculate
Shortest Distance
Shortest Distance
Right Angle
Shortest
Fesible Distance
Shortest
Mile Time
Shortest Distance
From Point to Line
Shortest Distance Between
a Line and the Origin
Taking the
Shortest Route
Shortest Distance
Is a Radius
Shortest
Flight Time
Shortest
Path Example
Short
Route
Distance Table From Shortest
to Longest
The Shortest Distance
Poem Funny
Shortest Distance
to Reach the Position
508A Shortest Distance
Explained
Complete Network of
Shortest Distance
Shortest Distance Between Two
Locations
The Shortest Distance
Is Round Part 2
Shortest Distance
in a a Hexagon
The Shortest Distance
Is Round Full Movie
London Shortest
Flight Distance
The Loree
Shortest Distance
Steps for Finding
Shortest Distance
What Is the
Shortest Distance Between Points
Shortest Distance
to the Ground Experiment
The Shortest Distance
Quote
The Shortest Distance
Is Round Movies
Define the Shortest Distance
On a Map
Which Algorithm Used for Finding
Shortest Distance
Point A to
Point B
Shortest Distance
Delivery Problem
Coordinate of Geometry
Shortest Distance
Shortest Distance
in Economic Question
Explore more searches like Shortest Distance Between Two Curves
Point
Line
Coordinate
Geometry
How
Find
Straight
Line
Graph
Theory
Point Line
Segment
Smile
Is
No
Fear
Map
Worksheet
River
Bank
BL
Series
What Is
Magnitude
Between
Points
Smile
Conjectures
Map
Between
Lines
Between 2 Skew
Lines
Is Round
BL
Between
Curves
IGCSE
Between Skew
Lines Formula
Ocean
How
Project
Finding
App
Is Not around
Japan
Meme
People interested in Shortest Distance Between Two Curves also searched for
Vector
Formula
Between
2 Points
Between Two
Points Clip Art
IOW
How
Calculate
It
Refers
Between Multiple
Points
Parth
What Do
You Call
Geometry
Between Two
Points Warp
World
Funny
Quotes
Vector
Autoplay all GIFs
Change autoplay and other image settings here
Autoplay all GIFs
Flip the switch to turn them on
Autoplay GIFs
Image size
All
Small
Medium
Large
Extra large
At least... *
Customized Width
x
Customized Height
px
Please enter a number for Width and Height
Color
All
Color only
Black & white
Type
All
Photograph
Clipart
Line drawing
Animated GIF
Transparent
Layout
All
Square
Wide
Tall
People
All
Just faces
Head & shoulders
Date
All
Past 24 hours
Past week
Past month
Past year
License
All
All Creative Commons
Public domain
Free to share and use
Free to share and use commercially
Free to modify, share, and use
Free to modify, share, and use commercially
Learn more
Clear filters
SafeSearch:
Moderate
Strict
Moderate (default)
Off
Filter
Shortest Distance Between Two
Points
Shortest
Route
Shortest Distance Between
Lines
Shortest
Path Graph
Shortest Distance
Point and Plane
Shortest
Map
Shortest Distance Between
Skew Lines
The Shortest Distance
Is Round
Shortest Distance
On a Curve
How to Find
Shortest Distance
Shortest Distance
Experiment
Shortest Distance
On a Sphere
Shortest Distance
Vectors
The Shortest Distance
BL
Shortest Distance
Algorithm
Shortest Distance
Formula Class 12
Shortest Distance Between Two
Functions
How to Calculate
Shortest Distance
Shortest Distance
Right Angle
Shortest
Fesible Distance
Shortest
Mile Time
Shortest Distance
From Point to Line
Shortest Distance Between
a Line and the Origin
Taking the
Shortest Route
Shortest Distance
Is a Radius
Shortest
Flight Time
Shortest
Path Example
Short
Route
Distance Table From Shortest
to Longest
The Shortest Distance
Poem Funny
Shortest Distance
to Reach the Position
508A Shortest Distance
Explained
Complete Network of
Shortest Distance
Shortest Distance Between Two
Locations
The Shortest Distance
Is Round Part 2
Shortest Distance
in a a Hexagon
The Shortest Distance
Is Round Full Movie
London Shortest
Flight Distance
The Loree
Shortest Distance
Steps for Finding
Shortest Distance
What Is the
Shortest Distance Between Points
Shortest Distance
to the Ground Experiment
The Shortest Distance
Quote
The Shortest Distance
Is Round Movies
Define the Shortest Distance
On a Map
Which Algorithm Used for Finding
Shortest Distance
Point A to
Point B
Shortest Distance
Delivery Problem
Coordinate of Geometry
Shortest Distance
Shortest Distance
in Economic Question
524×83
math.stackexchange.com
geometry - Shortest distance between two curves. - Mathematics Stack ...
360×223
math.stackexchange.com
calculus - Shortest distance between two general curves - Mathematics ...
750×372
byjus.com
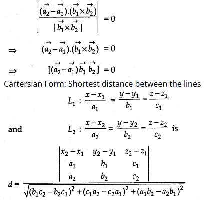
Shortest Distance between Two Lines - Definition, Formula, Proof and ...
631×229
stackoverflow.com
algorithm - Shortest distance between two curves defined by functions ...
1299×862
Stack Exchange
calculus - Shortest distance between two general curves usin…
972×732
Stack Exchange
calculus - Shortest distance between two general curves …
749×422
askfilo.com
Shortest distance between 2 curves | Filo
1191×807
math.stackexchange.com
calculus - Does the shortest distance between two curves exist along ...
360×428
math.stackexchange.com
calculus - Using circles to figure o…
700×327
byjus.com
Shortest Distance between Two Lines - Definition, Formula, Proof and ...
660×345
researchgate.net
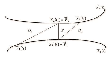
The shortest distance E between two curves or paths is along the common ...
Explore more searches like
Shortest Distance
Between Two Curves
Point Line
Coordinate Geometry
How Find
Straight Line
Graph Theory
Point Line Segment
Smile Is
No Fear
Map Worksheet
River Bank
BL Series
What Is Magnitude
708×742
researchgate.net
The shortest distance between two custom…
945×945
teachoo.com
Ex 11.2, 14 - Find shortest distance betw…
697×605
infoupdate.org
What Is The Shortest Distance Between Two Poi…
945×945
teachoo.com
Ex 11.2, 12 - Find shortest distance betw…
850×389
researchgate.net
The shortest distance between two curves defines the direction of the ...
320×320
researchgate.net
The shortest distance between two curves defin…
1152×648
OpenCV
Finding distance between two curves - OpenCV Q&A Forum
2513×1991
math.stackexchange.com
geometry - Equation of shortest distance between two lines ...
664×475
dev.opencascade.org
minimum distance between two curves - Forum Open Cascade Technology
700×316
chegg.com
Solved find the shortest distance between two curves solve | Chegg.com
700×170
chegg.com
Solved find the shortest distance between the two curves : | Chegg.com
470×333
cheenta.com
Shortest distance between curves - I.S.I. Entrance 201…
498×198
Stack Exchange
calculus - Closest distance between two quadratic curves - Mathematics ...
1304×220
chegg.com
Solved Find the shortest distance between the two curves | Chegg.com
354×362
sarthaks.com
Shortest Distance Between Two Lines of …
496×244
sarthaks.com
Shortest Distance Between Two Lines of three dimensional geometry ...
411×403
sarthaks.com
Shortest Distance Between Two Lines of t…
People interested in
Shortest Distance
Between Two Curves
also searched for
Vector Formula
Between 2 Points
Between Two Points Clip Art
IOW
How Calculate
It Refers
Between Multiple Points
Parth
What Do You Call
Geometry
Between Two Points Warp
World
657×1160
Stack Exchange
calculus - To find minimum dista…
945×945
teachoo.com
Example 11 - Chapter 11 Class 12 - Find shortes…
1024×576
numerade.com
SOLVED:Find the shortest distance between the curves x^2+y^2=2 and x y=9
707×479
researchgate.net
Closest points (shortest distance) between two segments | Download ...
945×945
teachoo.com
Find shortest distance between lines - 3D Ge…
1440×1080
clip.cafe
"The shortest distance between two points is a straight line in the ...
1600×1260
4centersoftriangle.blogspot.com
Finding the Shortest Distance between two Skew Lines
Some results have been hidden because they may be inaccessible to you.
Show inaccessible results
Report an inappropriate content
Please select one of the options below.
Not Relevant
Offensive
Adult
Child Sexual Abuse
Feedback