The photos you provided may be used to improve Bing image processing services.
Privacy Policy
|
Terms of Use
Can't use this link. Check that your link starts with 'http://' or 'https://' to try again.
Unable to process this search. Please try a different image or keywords.
Try Visual Search
Search, identify objects and text, translate, or solve problems using an image
Drag one or more images here,
upload an image
or
open camera
Drop images here to start your search
To use Visual Search, enable the camera in this browser
All
Search
Images
Inspiration
Create
Collections
Videos
Maps
News
More
Shopping
Flights
Travel
Notebook
Top suggestions for Complex Matrix Calculus
Matrix Calculus
Cheat Sheet
Matrix
Derivative
Solve Matrix
Equation
Inverse Matrix
Equation
Matrix
Precalculus
Matrix Calculus
Book
Gradient of a
Matrix
Multiply
Matrix
Matrix
Equation Example
Tensor
Calculus
Differential
Matrix
Matrices
in Math
Matrix
Differentiation
Jacobian Matrix
Formula
Matrix Calculus
Identities
Matrix
Theory
Cross Product
Matrix Formula
Matrix
Math Worksheet
Matrix Calculus
Table
Matrix
Addition
Solving Matrix
Equations
Multivariable Calculus
Equation
Matrix
Graph
Chain Rule in
Matrix Calculus
Probability
Matrix
Pre-Cal
Matrix
Mathematica
Matrix
Basic
Calculus
Matrix
Determinant
Multiplicative Inverse
Matrix
Matrix
Multiplication Equation
Linear Algebra
Matrices
Different Types of
Matrices
Matrices
Pre-Calc
Kronecker
Product
Matrix
Superposition
Matrix
Mathematics
Calculus
Book Cover
Matrices
Multiplication Examples
Diagonal
Matrix
Matrix
Math Books
Cacluas
Matrix
Equation Solver
Matrix
Multiplication Dimensions
Matrix and Calculus
in Collage
Matrix
Diagrams Calculus
Multiplying
Matrices
Partial Derivative
Matrix
Sign
Matrix Calculus
Explore more searches like Complex Matrix Calculus
Chandrashekhar
What
is
Gradient
Equation
Dental
Logo
Properties's
Derivative
Diagram
Convexity
Scientists Who
Wrote
Kronecker
Products
Template
for Pre
People interested in Complex Matrix Calculus also searched for
Rules Cheat
Sheet
Math
Symbols
Derivative Formula
Sheet
Differential
Equations
Background
Theme
Formula
Sheet
Math
Book
Cover
Page
Shell
Method
Cheat
Sheet
Wallpaper
4K
Limit
Theorems
1 Black
Background
Particle
Motion
Concept
Map
Amazing
Art
4
mm
Evaluate
Symbol
Curve
Sketching
1.Background
Inflection
Point
Math
Jokes
Math Clip
Art
Dental
Radiographs
Math
Wallpaper
Who
Created
Math Problems
Examples
1
Pinterest
Limits
Outline
Tangent
Line
Isaac
Newton
Logo Symbol
White
Chain
Rule
Tintin
Professor
Analytic
Geometry
Desktop
Wallpaper
Book
Cover
2
Logo
Integration Cheat
Sheet
Sign
Chart
Graph
Book
Bridge
Teeth
3
Examples
Kids
Teeth
Symbols
Used
Build Up
Teeth
Vector
Autoplay all GIFs
Change autoplay and other image settings here
Autoplay all GIFs
Flip the switch to turn them on
Autoplay GIFs
Image size
All
Small
Medium
Large
Extra large
At least... *
Customized Width
x
Customized Height
px
Please enter a number for Width and Height
Color
All
Color only
Black & white
Type
All
Photograph
Clipart
Line drawing
Animated GIF
Transparent
Layout
All
Square
Wide
Tall
People
All
Just faces
Head & shoulders
Date
All
Past 24 hours
Past week
Past month
Past year
License
All
All Creative Commons
Public domain
Free to share and use
Free to share and use commercially
Free to modify, share, and use
Free to modify, share, and use commercially
Learn more
Clear filters
SafeSearch:
Moderate
Strict
Moderate (default)
Off
Filter
Matrix Calculus
Cheat Sheet
Matrix
Derivative
Solve Matrix
Equation
Inverse Matrix
Equation
Matrix
Precalculus
Matrix Calculus
Book
Gradient of a
Matrix
Multiply
Matrix
Matrix
Equation Example
Tensor
Calculus
Differential
Matrix
Matrices
in Math
Matrix
Differentiation
Jacobian Matrix
Formula
Matrix Calculus
Identities
Matrix
Theory
Cross Product
Matrix Formula
Matrix
Math Worksheet
Matrix Calculus
Table
Matrix
Addition
Solving Matrix
Equations
Multivariable Calculus
Equation
Matrix
Graph
Chain Rule in
Matrix Calculus
Probability
Matrix
Pre-Cal
Matrix
Mathematica
Matrix
Basic
Calculus
Matrix
Determinant
Multiplicative Inverse
Matrix
Matrix
Multiplication Equation
Linear Algebra
Matrices
Different Types of
Matrices
Matrices
Pre-Calc
Kronecker
Product
Matrix
Superposition
Matrix
Mathematics
Calculus
Book Cover
Matrices
Multiplication Examples
Diagonal
Matrix
Matrix
Math Books
Cacluas
Matrix
Equation Solver
Matrix
Multiplication Dimensions
Matrix and Calculus
in Collage
Matrix
Diagrams Calculus
Multiplying
Matrices
Partial Derivative
Matrix
Sign
Matrix Calculus
768×1024
scribd.com
Complex Conjugate and A…
24×20
MathWorld
Complex Matrix -- from Wolfra…
351×90
MathWorld
Complex Matrix -- from Wolfram MathWorld
1150×724
MathWorld
Complex Matrix -- from Wolfram MathWorld
Related Products
Matrix Differential Calculus with App…
And Kronecker Product
Analysis and Applied Linear Al…
595×842
academia.edu
(PDF) A functional calc…
768×139
algebrapracticeproblems.com
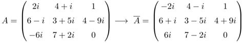
What is the complex conjugate of a matrix? (And how to find it?)
108×104
sharetechnote.com
Techslide | ShareTechnote
738×154
chegg.com
Solved Given a matrix A with complex entries, let A∗ be the | Chegg.com
882×1024
chegg.com
Solved Problem \#8: Given a matri…
1712×1396
chegg.com
Solved Problem \# 5: Given a matrix A with complex e…
1024×1542
premiumjs.com
Complex Conjugate Mat…
729×387
sharetechnote.com
Techslide | ShareTechnote
108×104
sharetechnote.com
Techslide | ShareTechnote
791×343
chegg.com
Solved If the 2 x 2 matrix A has complex conjugate | Chegg.com
Explore more searches like
Complex
Matrix Calculus
Chandrashek
…
What is
Gradient Equation
Dental
Logo
Properties's
Derivative
Diagram
Convexity
Scientists Who Wrote
Kronecker Products
Template for Pre
836×531
chegg.com
Solved If the 2 x 2 matrix A has complex conjugate | Chegg.com
1150×724
MathWorld
Complex Conjugate -- from Wolfram MathWorld
1024×463
askfilo.com
How we can obtained the complex conjugate of a matrix | Filo
700×227
chegg.com
Solved 6 Problem For the matrix A, find its complex | Chegg.com
745×1000
GeeksforGeeks
Conjugate of Complex Numbe…
1582×536
chegg.com
Solved Problem #4: A matrix with complex entires is called | Chegg.com
765×698
cuemath.com
Complex Conjugate| Concept, Calculator & Exa…
759×278
geeksforgeeks.org
Complex Matrices - GeeksforGeeks
320×320
researchgate.net
1: A complex number and the complex conj…
415×490
statisticshowto.com
Complex Conjugate: Definition, Propert…
600×398
mathmonks.com
Conjugate of a Complex Number - Properties, Graph, Examples & Diag…
600×731
mathmonks.com
Conjugate of a Complex Numbe…
700×264
chegg.com
Solved Consider the following complex matrix: | Chegg.com
1200×1553
studocu.com
Matrixproblems - complex matrix pro…
768×1024
scribd.com
Complex Conjugate | Complex Number …
1024×768
SlideServe
PPT - Complex Analysis PowerPoint Presentation, free download - ID:3951041
1024×576
SlideServe
PPT - Complex Numbers PowerPoint Presentation, free download - ID:2755805
People interested in
Complex Matrix
Calculus
also searched for
Rules Cheat Sheet
Math Symbols
Derivative Formula Sheet
Differential Equations
Background Theme
Formula Sheet
Math Book
Cover Page
Shell Method
Cheat Sheet
Wallpaper 4K
Limit Theorems
616×573
cuemath.com
Complex Conjugate - Theorem, Examples | …
578×369
cuemath.com
Complex Conjugate - Theorem, Examples | Conjugate of Complex …
1018×392
learnchannel-tv.com
Calculating with complex numbers - Learnchannel-TV.com
1024×768
SlideServe
PPT - Complex Numbers? What’s So Complex? PowerPoint Presentatio…
Some results have been hidden because they may be inaccessible to you.
Show inaccessible results
Report an inappropriate content
Please select one of the options below.
Not Relevant
Offensive
Adult
Child Sexual Abuse
Feedback