The photos you provided may be used to improve Bing image processing services.
Privacy Policy
|
Terms of Use
Can't use this link. Check that your link starts with 'http://' or 'https://' to try again.
Unable to process this search. Please try a different image or keywords.
Try Visual Search
Search, identify objects and text, translate, or solve problems using an image
Drag one or more images here,
upload an image
or
open camera
Drop images here to start your search
To use Visual Search, enable the camera in this browser
All
Search
Images
Inspiration
Create
Collections
Videos
Maps
News
More
Shopping
Flights
Travel
Notebook
Top suggestions for Na2O2 H2O
Na2O2
Na
H2O
Na+
H2O
H2O2 NaOH
H2O
NO2 H2O
Reaction
Na2CO3
H2SO4
Na2O2
Structure
Na2O2
电子式
Sodium
Peroxide
Naoh+
H2O
Na2O H2O
Products
Nah
H2O
NaOH H2O
Heat Reaction
Na H2O
NaOH H2
NaOH H2O
Balanced Equation
Na2O Plus
H20
H2O2
H20
Na2HPO4
Na H2O
Reaction Type
HNO3 with
H2O
Sodium
Dioxide
Sodium Peroxide
Formula
NaOH Al2O3 NaAlO2 H2O
Balance the Equation
Na2oh
2Na2O
Peroxide Lewis
Structure
Na2O and
Water
NiSO4 NaOH
H2O2
NaOH H3PO4 Balanced
Equation
Naoh2
Sodium Oxide
Structure
Na2O React
with Water
N2O3 and
Water
Al(OH)3
NaOH
Sodium
Hydroperoxide
Phenolphthalein
Indicator
KMnO4
O2
Chemical Equation
Na2O
Na2o3
What Is Sodium
Peroxide
Sodium
Heptoxide
K2O
HCL
Na2O2
Unit Cell
Na2O2
Crystal Structure
Atomic Structure of
Na2O2
AlCl3 and
NaOH
3 Na2O2
S Cr2O3 S2H Aq 6Na Aq 2Cro42 Aq H2O
Equation for the Formation
of Sodium Peroxide
Na and
H2O Bond
H2O2 Oxidizing
Agent
Explore more searches like Na2O2 H2O
Lewis Dot
Structure
Crystal
Structure
Molecular
Structure
Dot Cross
Diagram
Lewis
Structure
Simple
Structure
How Look
Like
Bohr
IUPAC
Hydrolysis
Water
Lewis
Dot
H20
Na2O
Reacts
Water
Heating
Xas
Free
Polyatomic
Atom
State
Symbol
Hydrogen
People interested in Na2O2 H2O also searched for
Chemical
Structure
Ai
Logo
Hydrogen
Bonding
Electron
Geometry
Just Add Water
Season 4
Phase
Diagram
Transparent
Background
Mako
Mermaids
Wireless
Logo
Episode
1
Mickey Mouse
Ears
Covalent Bond
Diagram
Chemical Structure
PNG
Structural
Formula
Fancy
Text
Chemical
Compound
Molecule
PNG
It Is
Wonderful
Skeletal
Structure
Chemical
Symbol
No
Background
Mop Steam
Cleaner
Just Add Water
Mermaids
Logo
Design
Just Add Water
Book
Just Add Water
Cast
Oxidation
State
Cartoon
Images
Mermaid
Tail
Just Add Water
Season 1
Clip
Art
Covalent
Bond
Molecular
Geometry
Just Add Water
Season 2
Just Add Water
Movie
Mermaid
Stuff
Football
ClipArt
Mermaid Coloring
Pages
Just Add Water
TV Show
Shield
PNG
Wedge
Drawing
Water
Drop
Just Add Water
Games
Water
Molecule
Compound
Model
Autoplay all GIFs
Change autoplay and other image settings here
Autoplay all GIFs
Flip the switch to turn them on
Autoplay GIFs
Image size
All
Small
Medium
Large
Extra large
At least... *
Customized Width
x
Customized Height
px
Please enter a number for Width and Height
Color
All
Color only
Black & white
Type
All
Photograph
Clipart
Line drawing
Animated GIF
Transparent
Layout
All
Square
Wide
Tall
People
All
Just faces
Head & shoulders
Date
All
Past 24 hours
Past week
Past month
Past year
License
All
All Creative Commons
Public domain
Free to share and use
Free to share and use commercially
Free to modify, share, and use
Free to modify, share, and use commercially
Learn more
Clear filters
SafeSearch:
Moderate
Strict
Moderate (default)
Off
Filter
Na2O2
Na
H2O
Na+
H2O
H2O2 NaOH
H2O
NO2 H2O
Reaction
Na2CO3
H2SO4
Na2O2
Structure
Na2O2
电子式
Sodium
Peroxide
Naoh+
H2O
Na2O H2O
Products
Nah
H2O
NaOH H2O
Heat Reaction
Na H2O
NaOH H2
NaOH H2O
Balanced Equation
Na2O Plus
H20
H2O2
H20
Na2HPO4
Na H2O
Reaction Type
HNO3 with
H2O
Sodium
Dioxide
Sodium Peroxide
Formula
NaOH Al2O3 NaAlO2 H2O
Balance the Equation
Na2oh
2Na2O
Peroxide Lewis
Structure
Na2O and
Water
NiSO4 NaOH
H2O2
NaOH H3PO4 Balanced
Equation
Naoh2
Sodium Oxide
Structure
Na2O React
with Water
N2O3 and
Water
Al(OH)3
NaOH
Sodium
Hydroperoxide
Phenolphthalein
Indicator
KMnO4
O2
Chemical Equation
Na2O
Na2o3
What Is Sodium
Peroxide
Sodium
Heptoxide
K2O
HCL
Na2O2
Unit Cell
Na2O2
Crystal Structure
Atomic Structure of
Na2O2
AlCl3 and
NaOH
3 Na2O2
S Cr2O3 S2H Aq 6Na Aq 2Cro42 Aq H2O
Equation for the Formation
of Sodium Peroxide
Na and
H2O Bond
H2O2 Oxidizing
Agent
2:02
YouTube > Wayne Breslyn (Dr. B.)
How to Balance Na + H2O = NaOH + H2 (Sodium plus Water)
YouTube · Wayne Breslyn (Dr. B.) · 981.5K views · Apr 16, 2018
1:53
YouTube > Wayne Breslyn (Dr. B.)
How to Balance Na2O2 + H2O = NaOH + H2O2 (Sodium peroxide + COLD Water)
YouTube · Wayne Breslyn (Dr. B.) · 15.9K views · Jul 21, 2019
1:43
www.youtube.com > T&T Channel
Na2O + H2O (sodium oxide reacts with water)
YouTube · T&T Channel · 4.7K views · Aug 24, 2022
1280×720
www.youtube.com
How to balance Na + O2 → Na2O - YouTube
Related Products
Hydrogen Peroxide Solut…
Oxygen Bleach Powder
Stain Remover Liquid
1:38
www.youtube.com > Wayne Breslyn (Dr. B.)
How to Balance Na2O + O2 = Na2O2 (Sodium oxide + Oxygen gas)
YouTube · Wayne Breslyn (Dr. B.) · 4.6K views · Sep 19, 2019
2:11
YouTube > Wayne Breslyn (Dr. B.)
How to Write the Net Ionic Equation for Na2O + H2O = NaOH
YouTube · Wayne Breslyn (Dr. B.) · 12.4K views · Aug 11, 2020
1280×720
www.youtube.com
Na2O Balancing Chemical Reactions Sodium Oxide | Professor Adam Teaches ...
1:14
www.youtube.com > My documentary
Na2O+H2O=NaOH balance the chemical equation @mydocumentary838.
YouTube · My documentary · 1.7K views · Jun 6, 2023
9:11
www.youtube.com > Wow science
H2O2/NaOH Reagent Tips and Tricks | Epoxidation reaction | Wow science
YouTube · Wow science · 8.2K views · May 29, 2022
0:39
www.youtube.com > CHEMISTRY
Sodium Oxide(Na2O)+Water(H2O).The Balanced chemical Equation between Sodium Oxide & Water
YouTube · CHEMISTRY · 3.9K views · Sep 5, 2022
Explore more searches like
na2o2+h2o
Lewis Dot Structure
Crystal Structure
Molecular Structure
Dot Cross Diagram
Lewis Structure
Simple Structure
How Look Like
Bohr
IUPAC
Hydrolysis
Water
Lewis Dot
3:27
YouTube > Chemistry 360
Na2O+H2O=NaOH Balanced Equation||Sodium Oxide+Water=Sodium hydroxide Balanced Equation
YouTube · Chemistry 360 · 5.9K views · Dec 10, 2018
720×480
Weebly
Chapter 12-Chemical Bonding - ChemistrySAAastavrum
1170×668
brainly.in
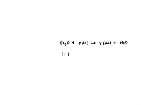
Balance the equations Na2O+H2O =NaOH - Brainly.in
1024×768
slideplayer.com
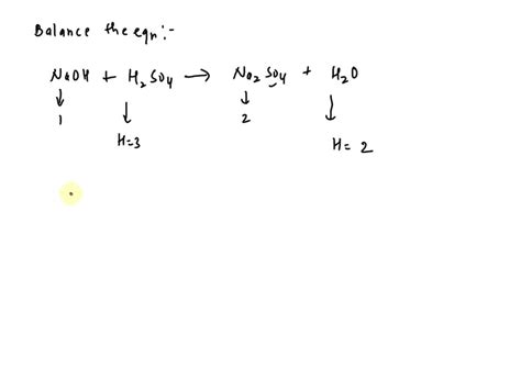
Translating Equations Practice - ppt download
1024×768
SlideServe
PPT - Chemistry Presentation PowerPoint Presentation, free download ...
3120×4160
brainly.in
balance na2o2+h2o=naoh…
1024×768
numerade.com
SOLVED: Balance the chemical equation 2 Na + O2 → 2 Na2O
768×427
geometryofmolecules.com
Na2O Lewis Structure, Uses and Properties - Geometry of Molecules
600×151
knordslearning.com
Is Na2O Ionic or Covalent? (And Why?)
1712×184
chegg.com
Solved Na+H2O→NaOH+H2 | Chegg.com
700×559
chegg.com
Solved H2O2,NaOH | Chegg.com
937×65
chegg.com
Solved Na+ H2O→ NaOH+ H2 | Chegg.com
548×152
shaalaa.com
Show the Formation of Na2o by the Transfer of Electrons. - Science ...
416×259
chegg.com
Solved explain reaction of NaOH H2O please | Chegg.com
People interested in
na2o2+h2o
also searched for
Chemical Structure
Ai Logo
Hydrogen Bonding
Electron Geometry
Just Add Water Season 4
Phase Diagram
Transparent Background
Mako Mermaids
Wireless Logo
Episode 1
Mickey Mouse Ears
Covalent Bond Diagram
1024×768
numerade.com
SOLVED: a. NaOH (aq) + H2SO4 (aq) → Na2SO4 …
700×162
chegg.com
Solved Na2O2+…H2O→_NaOH+O2 | Chegg.com
1691×4032
chegg.com
Solved Na2O+H2O→ …
1042×892
chegg.com
Solved 1. NaOH,H2O 2. H3O+ | Chegg.com
1024×530
numerade.com
SOLVED: Write the balanced equation for the reaction between Na2O2 and ...
738×546
chegg.com
Solved NaOH H2O O2 H2O2 | Chegg.com
3024×1635
chegg.com
Solved 2. NaOH,H2O H2O2 5/8 | Chegg.com
516×100
chegg.com
Solved NaOH,H2O 2NaOΘO | Chegg.com
890×627
cbaseline.blogspot.com
PERIODIC TABLE
676×594
chegg.com
Solved 2NaOH(s)→Na2O(s)+H2O(l)\t…
1024×768
numerade.com
SOLVED: Sodium Oxide (Na2O) can react with hydrochloric acid (HCl) to ...
Some results have been hidden because they may be inaccessible to you.
Show inaccessible results
See more images
Recommended for you
Sponsored
Report an inappropriate content
Please select one of the options below.
Not Relevant
Offensive
Adult
Child Sexual Abuse
Feedback