The photos you provided may be used to improve Bing image processing services.
Privacy Policy
|
Terms of Use
Can't use this link. Check that your link starts with 'http://' or 'https://' to try again.
Unable to process this search. Please try a different image or keywords.
Try Visual Search
Search, identify objects and text, translate, or solve problems using an image
Drag one or more images here,
upload an image
or
open camera
Drop images here to start your search
To use Visual Search, enable the camera in this browser
All
Search
Images
Inspiration
Create
Collections
Videos
Maps
News
More
Shopping
Flights
Travel
Notebook
Top suggestions for Examples of Identity in Boolean Expression
Boolean
Boolean
Logic Diagram
Example of Boolean
Boolean Expression
to Logic Diagram
Boolean
Circuit Diagram
Boolean
Equation Example
Boolean
Algebra Basics
Boolean
Function Examples
Example for Simplification
of a Boolean Expression
E
Boolean Expression Example
Boolean Expression
Symbols
Simple
Boolean Expressions
Boolean
Algebra Formula Sheet
Boolean Identities
Boolean
Operators Venn Diagram
Boolean Expression
Sign
Boolean Expression
Loops
Example of Boolean Expression
Questions
Boolan
Boolean
Algebraic Expression
Boolean
Algebra Formulas
Boolean
Albegbra
Complex
Boolean Expression Example
Boolean Expression
Samples
Boolean Expression
Kuka
Boolean
Algebra Theorems
Boolean
Guy
Boolean Expression
Kids
Boolean
Algebra Constants
Boolean
Algebra Logic Gates
Boolean
Algebra DLD
Example of
a Bollean Expression
Boolean
Polynomial
Example of Boolean
On Website
Z Bar
in Boolean Expression Example
Algebra
Booleana
Example of Boolean Expression in
Periodontics
Boolean Expression
to Stick Diagram
Booelean
Algebra
Boolean Algebra Expression
Symbol True False
Boolean
Algebra Solved Examples
Rose Bud and
Boolean Expression
Linear Algebra
Boolean
Jk Ff Logic Diagram
Boolean Expression
Example of Boolean in
C
Boolean
Logic Truth Tables
Boolean
Worksheet Examples
Inverse
of Boolean Expression Examples
Conversion of Boolean Expression
into Logic Diagram
Boolean
Algebra Reduction Examples
Explore more searches like Examples of Identity in Boolean Expression
Nand
Gate
Truth
Table
Standard
Form
Java
Example
RoseBud
Not
Gate
True or
False
What Is
Compound
Decoder
Circuit
4X1
Mux
Cheat
Sheet
Equal
Sign
Truth Table
Practice
XOR
Gate
Full
Adder
Logic
Circuit
Gate
Symbol
Logic
Diagram
Draw Logic
Gates
Nor
Gate
Logic
Gates
What
is
Circuit
Diagram
Half
Adder
Decision
Table
How
Write
Or Gate
Symbol
Computer
Science
Or
Gate
4-Input Nand
Gate
Alphabetical
Order
Digital
Electronics
Simplification
Examples
Karnaugh
Map
Ripple Carry
Adder
Circuit
Diagram
For Full
Adder
Sum
Products
2
Level
Examples
Python
Derive
Map
Xpand
People interested in Examples of Identity in Boolean Expression also searched for
Python
Examples
Computer Science
Examples
Algebraic
For
Diagram
For
plc
Full Adder
Circuit
Rising
Edges
Coding
Write
Is Tested Before
Loop
Xand
Comparator
SOP
Form
Simulator
For SR
Latch
Autoplay all GIFs
Change autoplay and other image settings here
Autoplay all GIFs
Flip the switch to turn them on
Autoplay GIFs
Image size
All
Small
Medium
Large
Extra large
At least... *
Customized Width
x
Customized Height
px
Please enter a number for Width and Height
Color
All
Color only
Black & white
Type
All
Photograph
Clipart
Line drawing
Animated GIF
Transparent
Layout
All
Square
Wide
Tall
People
All
Just faces
Head & shoulders
Date
All
Past 24 hours
Past week
Past month
Past year
License
All
All Creative Commons
Public domain
Free to share and use
Free to share and use commercially
Free to modify, share, and use
Free to modify, share, and use commercially
Learn more
Clear filters
SafeSearch:
Moderate
Strict
Moderate (default)
Off
Filter
Boolean
Boolean
Logic Diagram
Example of Boolean
Boolean Expression
to Logic Diagram
Boolean
Circuit Diagram
Boolean
Equation Example
Boolean
Algebra Basics
Boolean
Function Examples
Example for Simplification
of a Boolean Expression
E
Boolean Expression Example
Boolean Expression
Symbols
Simple
Boolean Expressions
Boolean
Algebra Formula Sheet
Boolean Identities
Boolean
Operators Venn Diagram
Boolean Expression
Sign
Boolean Expression
Loops
Example of Boolean Expression
Questions
Boolan
Boolean
Algebraic Expression
Boolean
Algebra Formulas
Boolean
Albegbra
Complex
Boolean Expression Example
Boolean Expression
Samples
Boolean Expression
Kuka
Boolean
Algebra Theorems
Boolean
Guy
Boolean Expression
Kids
Boolean
Algebra Constants
Boolean
Algebra Logic Gates
Boolean
Algebra DLD
Example of
a Bollean Expression
Boolean
Polynomial
Example of Boolean
On Website
Z Bar
in Boolean Expression Example
Algebra
Booleana
Example of Boolean Expression in
Periodontics
Boolean Expression
to Stick Diagram
Booelean
Algebra
Boolean Algebra Expression
Symbol True False
Boolean
Algebra Solved Examples
Rose Bud and
Boolean Expression
Linear Algebra
Boolean
Jk Ff Logic Diagram
Boolean Expression
Example of Boolean in
C
Boolean
Logic Truth Tables
Boolean
Worksheet Examples
Inverse
of Boolean Expression Examples
Conversion of Boolean Expression
into Logic Diagram
Boolean
Algebra Reduction Examples
1141×674
circuitdiagram.co
Boolean Expression To Logic Circuit Examples - Circuit Diagram
2221×1213
Stack Exchange
logic gates - Simplifying a boolean expression - Electrical Engineering ...
1280×720
worksheetshq.com
Boolean Logic Boxes Examples
700×510
chegg.com
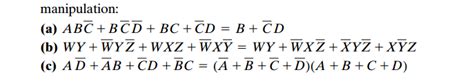
Solved 7. Prove by using Boolean Identities that Boolea…
Related Products
Truth Table Generator
Logic Gates Simulator
Digital Logic Design Book
700×168
chegg.com
Solved 10. Prove the following Boolean identity using both | Chegg.com
540×150
chegg.com
Solved 10. Prove the following Boolean identity using both | Chegg.com
1640×322
chegg.com
Solved 15. Prove the following Boolean identity using both | Chegg.com
569×126
chegg.com
Solved Using the Identities and Laws of Boolean Algebra, | Chegg.com
1811×474
chegg.com
Solved Using the Identities and Laws of Boolean Algebra, | Chegg.com
1139×284
chegg.com
Solved prove identity of boolean equation | Chegg.com
Explore more searches like
Examples of Identity in
Boolean Expression
Nand Gate
Truth Table
Standard Form
Java Example
RoseBud
Not Gate
True or False
What Is Compound
Decoder Circuit
4X1 Mux
Cheat Sheet
Equal Sign
464×700
Chegg
Solved Prove the identity of eac…
1024×242
numerade.com
Problem #2: Prove deductively, using Boolean Identities and Boolean ...
295×637
chegg.com
Solved Use boolean identit…
500×250
assignmentpoint.com
About Boolean Algebra - Assignment Point
1024×162
chegg.com
Solved 6. Prove the following Boolean identity using | Chegg.com
1697×408
chegg.com
Solved 5. Using the Identities and Laws of Boolean Algebra, | Chegg.com
495×640
slideshare.net
Boolean Identities | PDF
979×609
chegg.com
Solved Using the Identities and Laws of Boolean Algebra, | Chegg.com
832×923
chegg.com
Solved 0+x= x Basic Identities of Boole…
638×479
SlideShare
Boolean
1024×275
chegg.com
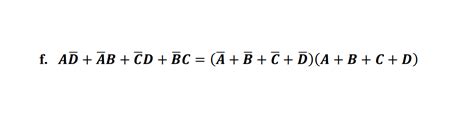
Solved Prove the identity of each of the following Boolean | Chegg.com
687×118
chegg.com
Solved +Prove the identity of each of the following Boolean | Chegg.com
632×145
Chegg
Solved +Prove the identity of each of the following Boolean | Chegg.com
710×345
chegg.com
Solved Boolean Identities Property Commutative Associative | Chegg.com
800×751
wiki.bibble.co.nz
Boolean Algebra - bibbleWiki
700×435
chegg.com
Solved Identity Theorems[ 4 marks] Use Boolean algebra | Chegg.com
412×100
technocrazed.com
7.3 Boolean Algebraic Identities
People interested in
Examples of Identity in
Boolean Expression
also searched for
Python Examples
Computer Science Exa
…
Algebraic
For Diagram
For plc
Full Adder Circuit
Rising Edges
Coding
Write
Is Tested Before Loop
Xand
Comparator
700×190
chegg.com
Solved 8. Prove the identity of each of the following | Chegg.com
781×226
chegg.com
Solved Prove each of the below Boolean identity first | Chegg.com
700×135
chegg.com
Solved +Prove the identity of each of the following Boolean | Chegg.com
350×110
www.bartleby.com
Answered: 1. Use boolean identities to simplify the following ...
868×1024
chegg.com
Solved 1. What is the following iden…
700×534
chegg.com
Solved Consider the following Boolean identities: A 2+1 C 0 …
286×211
graphicmaths.com
GraphicMaths - Boolean algebra
600×405
All About Circuits
Boolean Algebra Laws—Delving Into Boolean Identities - Technical Artic…
Some results have been hidden because they may be inaccessible to you.
Show inaccessible results
See more images
Recommended for you
Sponsored
Report an inappropriate content
Please select one of the options below.
Not Relevant
Offensive
Adult
Child Sexual Abuse
Feedback