Top suggestions for =SUM( |
- Length
- Date
- Resolution
- Source
- Price
- Clear filters
- SafeSearch:
- Moderate
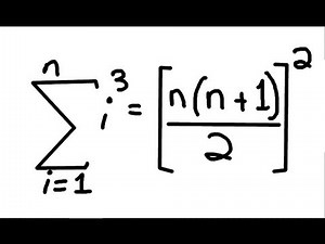
- Sum of Cubes
Formula - Sum
and Difference of Cubes - Cube of
a Binomial - Cube
Algebra - Sum of Cubes
Khan Academy - Sum of
2 Cubes - Perfect
Cubes - Sum of
Three Cubes - Factoring Diff
Sum of Cubes - Factoring
Sum of Cubes - Sum of Cubes
Explained - Sum and Difference
of Two Cubes - Sum
or Difference of Cubes - Sum of
N Cubes - Sum of
2 Squares - Factor
Sum of Cubes
Top videos
See more videos
More like this

Feedback